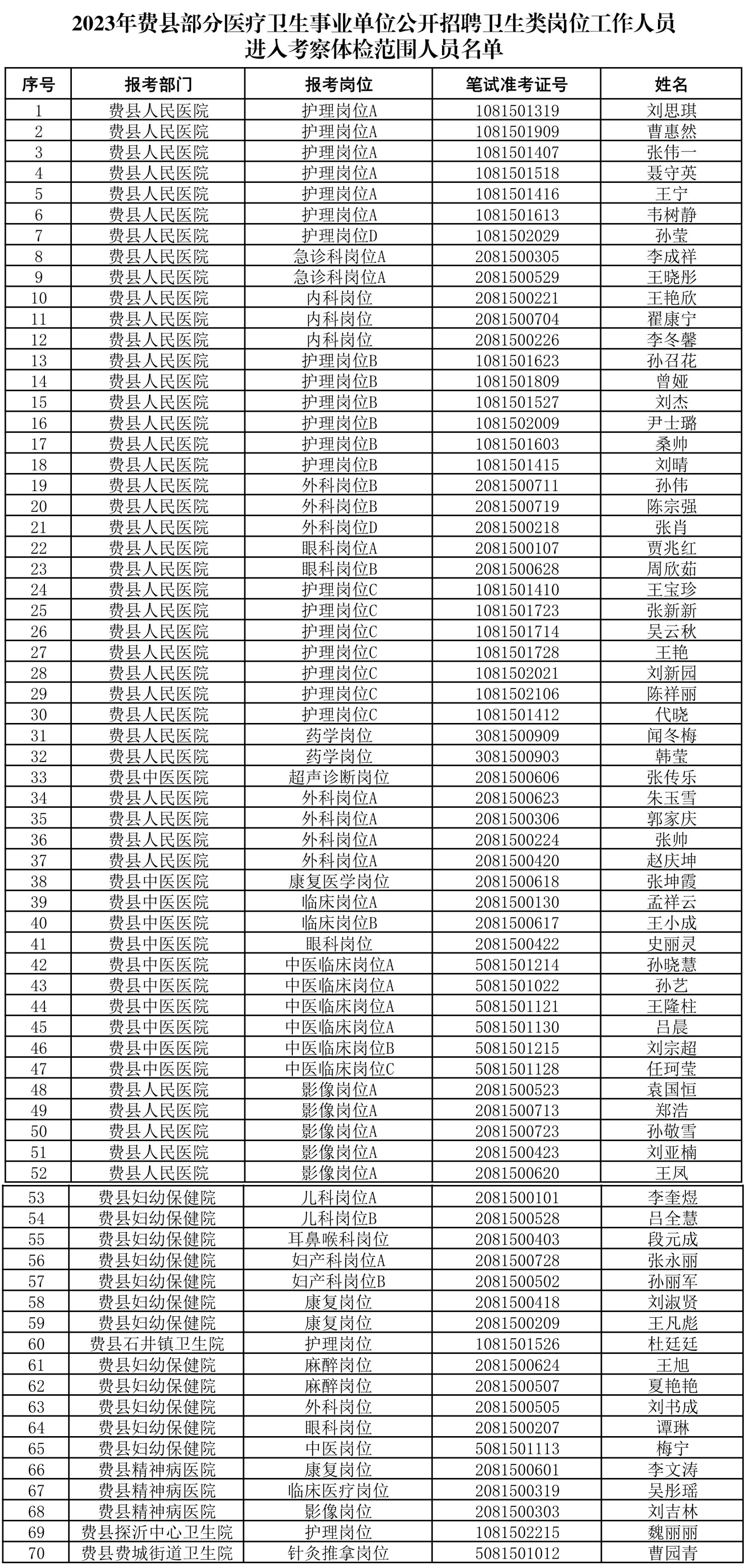
根据《2023年费县部分医疗卫生事业单位公开招聘卫生类岗位工作人员简章》规定,按照考试总成绩排名,分招聘单位和岗位,按1:1的比例依次等额确定考察体检人选。拟确定为考察体检人选的面试成绩不得低于60分。如用人单位同一个招聘岗位出现应聘人员考试总成绩相同,则按笔试成绩由高分到低分依次确定考察体检人选;笔试、面试成绩都相同的,通过加试的办法确定考察体检人选。现将进入考察体检范围人员名单予以公布,详见附件。
附件:2023年费县部分医疗卫生事业单位公开招聘卫生类岗位工作人员进入考察体检范围人员名单
费县卫生健康局
2023年6月27日
